不同灭活剂制备的猪肺炎支原体与猪鼻支原体疫苗的灭活效果及免疫原性比较研究

2026-01-21 16:19:32

华派生物俱乐部 易洁编译

大家好,今天给大家分享一篇来自江苏省农科院在Vaccine发表的题为“Comparative study on the inactivation and immunogenicity of Mycoplasma hyopneumoniae and Mycoplasma hyorhinis vaccines prepared using different inactivants”的文章。

图片
图片

摘要  本研究旨在探究制备猪肺炎支原体(Mycoplasma hyopneumoniae)和猪鼻支原体(Mycoplasma hyorhinis)灭活疫苗的最佳灭活剂及其灭活条件。研究比较了甲醛、硫柳汞、β-丙内酯(BPL)及二乙烯亚胺(BEI)对支原体的灭活效果。结果表明,在37 °C条件下,使用0.01%甲醛作用24小时或0.02%甲醛作用12小时;0.0008%硫柳汞作用12小时;0.004% BEI作用24小时或0.5% BEI作用12小时,均可完全灭活猪肺炎支原体。在4 °C条件下,使用0.02% BPL作用24小时或0.1% BPL作用12小时,亦可实现完全灭活。对于猪鼻支原体,在37 °C条件下,使用0.01%甲醛作用24小时或0.02%甲醛作用12小时;0.004%硫柳汞作用24小时或0.02%硫柳汞作用12小时;0.004% BEI作用24小时或0.5% BEI作用12小时,均可完全灭活。在4 °C条件下,使用0.1% BPL作用12小时可实现完全灭活。随后通过免疫BALB/c小鼠评估了灭活后支原体的免疫原性。使用高剂量(每剂量10⁶ CCU)的各类灭活剂制备的两种支原体疫苗均能诱导小鼠产生高水平的血清IgG抗体。其中,甲醛灭活的猪肺炎支原体疫苗诱导的抗体滴度显著高于其他灭活剂组;而BEI灭活的猪鼻支原体疫苗诱导的抗体滴度显著高于硫柳汞灭活组。在低剂量(每剂量10⁴ CCU)免疫小鼠中,仅甲醛和BEI灭活的猪肺炎支原体疫苗,以及甲醛、BPL和BEI灭活的猪鼻支原体疫苗能诱导显著水平的血清IgG抗体。在这些组别中,甲醛灭活疫苗组产生的抗体水平均高于其他灭活剂组。本研究为猪肺炎支原体和猪鼻支原体灭活疫苗的大规模生产中的灭活工艺提供了可靠依据。


关键词: β-丙内酯 二乙烯亚胺 甲醛 灭活 猪肺炎支原体 猪鼻支原体 硫柳汞

1
背景


支原体属是猪病中最重要的细菌性病原体之一,可导致猪只慢性感染且难以从猪场根除。其中,猪肺炎支原体是猪地方流行性肺炎(EP)的关键病原体[1,2]。该呼吸道疾病呈全球性分布,对经济造成显著影响,主要临床症状为咳嗽伴生长性能下降。此外,猪肺炎支原体可通过增强病毒性病原体(如猪繁殖与呼吸综合征病毒PRRSV和猪圆环病毒2型PCV2)所致呼吸道疾病的严重程度,参与猪呼吸道疾病综合征(PRDC)的发生[3]。


猪鼻支原体在全球猪群中普遍存在,常定植于扁桃体及上呼吸道黏膜(包括鼻腔和传导气道)。多数携带猪鼻支原体的猪只无显著临床症状,因此该病原体曾被视为猪鼻腔正常菌群的组成部分。然而后续临床与科学研究证实了猪鼻支原体的致病性:它能引发严重的全身性感染,导致多发性浆膜炎、关节炎、耳炎、咽鼓管炎、结膜炎及流产等病症[4-8];此外也可能参与PRDC的发生[9,10]。但导致其致病的具体机制或条件尚未明确。值得注意的是,猪鼻支原体还与人类胃癌、肺癌及结肠癌等恶性肿瘤存在关联[11,12]。


疫苗接种是控制这两种病原体感染最有效的措施[1,2,4,5]。针对猪肺炎支原体的商业化疫苗主要包括灭活疫苗和活疫苗两大类:由全菌制剂与佐剂组成的灭活疫苗在全球广泛应用[13],而减毒活疫苗仅在墨西哥和中国获批使用[14]。目前还有与PCV2联合的猪肺炎支原体二联灭活疫苗,或与格拉瑟菌(原名副猪嗜血杆菌)联合的灭活疫苗等商业化多联疫苗产品[13,15,16]。对于猪鼻支原体,目前仅有勃林格殷格翰生产的灭活疫苗获批上市。


确保疫苗的安全性与有效性是疫苗研发过程中的核心目标。在灭活疫苗的生产中,病原体的完全灭活是消除感染风险、保证疫苗安全的关键环节。灭活效果与所选灭活剂密切相关:优良的灭活剂应在彻底灭活病原体的同时,保持其良好的抗原性。因此,筛选高效安全的灭活剂是开发灭活疫苗的重要步骤。目前用于支原体灭活的试剂包括甲醛、硫柳汞、β-丙内酯(BPL)及二元乙烯亚胺(BEI)等[17-21],但这些灭活剂的效果差异尚不明确。本研究通过测定并比较甲醛、硫柳汞、BPL和BEI对猪肺炎支原体及猪鼻支原体的灭活效果,以及灭活后抗原的免疫原性,以确定生产这两种支原体灭活疫苗的最适灭活剂。



2
材料与方法


2.1  支原体菌株与培养条件

本实验所用猪肺炎支原体NJ株与猪鼻支原体HEF-16株分别分离自中国南京与合肥地区,均培养于KM2液体培养基[22]。支原体培养物滴度通过颜色变化单位(CCU)法进行测定,该方法以培养基中指示剂因酸度变化而显黄色作为判定依据。简要流程如下:使用KM2培养基将支原体培养物进行十倍系列稀释(至10⁻¹¹),置于37℃培养并持续观察两周。CCU滴度通过四次重复测定确定,按每毫升培养物表示为10^y(y为各重复组中因支原体生长导致培养基酸化的阳性管数的平均值)[23,24]。


2.2  支原体灭活

将支原体菌株于37°C条件下在KM2液体培养基中培养36至48小时。取10 mL支原体培养物,分别使用不同浓度的甲醛(美国Sigma)、硫柳汞(美国Sigma)、β-丙内酯(中国Macklin)及二元乙烯亚胺(美国Sigma)(见表1)进行处理以测试其灭活效果。将四种灭活剂按不同浓度加入支原体培养物中,并设置不添加任何灭活剂的对照组。经甲醛、硫柳汞或BEI处理的培养物置于37°C条件下作用[25-27],而经BPL处理的培养物则在4°C下进行[28]。所有处理组分别作用12小时和24小时。此外,对于BEI处理组,在灭活作用结束后,加入无菌硫代硫酸钠溶液至终浓度为2%,以水解残留的BEI[29]。所有处理完成后,将支原体培养物置于4°C保存,以备后续使用。


9f3b44f1d5bc6fa2f75aa2796df7be64.png


2.3  灭活后支原体活性检测

为评估灭活处理后残留的支原体活性,分别于作用12小时或24小时后取1 mL培养物样本,于4°C条件下以12000g离心20分钟。沉淀物用1 mL磷酸盐缓冲盐水(PBS)重悬,随后通过颜色变化单位(CCU)法测定支原体滴度[19]。每日观察支原体培养物的颜色变化。若培养物颜色未发生改变,则按1:10的比例将其在KM2液体培养基中每7天传代一次,连续传代三代。若支原体培养物在三代传代过程中颜色均无变化,则判定为完全灭活。


2.4  小鼠体内灭活支原体免疫原性评价

根据灭活试验结果,选取各灭活剂所需的最低浓度与最短作用时间,用于制备猪肺炎支原体与猪鼻支原体疫苗。将灭活后的支原体培养物稀释至3.5 × 10⁷ CCU/mL或3.5 × 10⁵ CCU/mL,并与吐温-80(4 %, v/v)混合。随后,将水相与含有6% Span-80的Marcol白色矿物油佐剂按10:25 (v/v)的体积比进行乳化,制备成疫苗。选用6至8周龄雄性BALB/c小鼠(由中国扬州大学比较医学研究所提供),每组8只,经肌肉注射接种0.1 mL猪肺炎支原体或猪鼻支原体疫苗(每剂量含10⁶ CCU或10⁴ CCU)。以接种PBS的小鼠作为阴性对照组。初次免疫后第14天进行加强免疫。


2.5  疫苗免疫诱导血清抗体的检测

分别于二次免疫后第0、7、14、21天(接种剂量为10⁶ CCU组)以及第0、14、28、42天(接种剂量为10⁴ CCU组)采集小鼠血清样本。采用实验室建立的间接ELISA方法检测针对猪肺炎支原体或猪鼻支原体的抗体。简要步骤如下:通过12000 ×g离心20分钟收集猪肺炎支原体或猪鼻支原体菌体,沉淀经PBS洗涤三次并重悬。超声破碎裂解后,收集上清液,并使用BCA蛋白浓度测定试剂盒(中国,碧云天)测定其蛋白浓度。将上清用碳酸盐-碳酸氢盐缓冲液(pH 9.6)稀释至5 μg/mL,包被96孔ELISA板,4°C孵育过夜。用5%牛血清白蛋白(BSA,中国,碧云天)封闭后,每孔加入100 μL血清样本(1:100稀释于含5% BSA的PBS中),37°C孵育30分钟。随后加入100 μL辣根过氧化物酶标记的山羊抗小鼠IgG(中国,博士德;1:10,000稀释于含5% BSA的PBS中)。洗涤后,加入四甲基联苯胺-过氧化氢底物溶液(TMB,中国,碧云天),25°C避光孵育10分钟以显色。最后使用BioTek uQuant酶标仪(美国,Bio-Tek)于450 nm波长下测定溶液的光密度值。


2.6  统计分析

实验数据均以均值±标准差(SD)表示。采用GraphPad Prism软件(8.2.1版)进行统计分析。组间抗体水平差异采用重复测量方差分析进行检验,将p < 0.05设定为统计学显著性的阈值。




3
结果


3.1  不同灭活剂对猪肺炎支原体的作用效果

将不同浓度的灭活剂加入猪肺炎支原体培养物中,于37°C(BPL在4°C)条件下分别作用12小时或24小时。结果如图1所示,随着灭活剂浓度的增加,作用12小时或24小时后猪肺炎支原体培养物的滴度(CCU/mL)逐渐降低。四种灭活剂均能实现完全灭活:甲醛在0.01%浓度下作用24小时、0.02%浓度下作用12小时可实现完全灭活;硫柳汞在0.0008%浓度下作用12小时即可完全灭活猪肺炎支原体;BPL在0.02%浓度下作用24小时、0.1%浓度下作用12小时可实现完全灭活;BEI则在0.004%浓度下作用24小时、0.5%浓度下作用12小时达到完全灭活。基于图1结果可知,与其他灭活剂相比,硫柳汞所需完全灭活猪肺炎支原体的浓度最低(0.0008%)。


11313a431c1dd4e0e6de2fdbbddb26a8.png


3.2  不同灭活剂对猪鼻支原体的作用效果

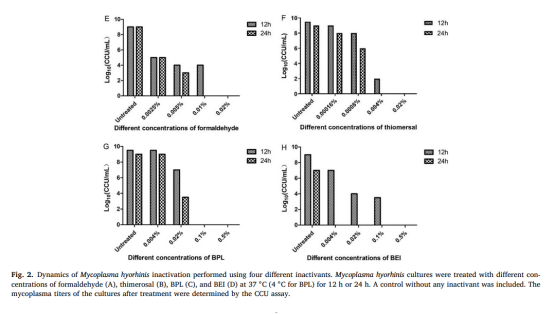
采用与猪肺炎支原体灭活方案相似的流程,将不同浓度灭活剂加入猪鼻支原体培养物中,于37°C(BPL在4°C)条件下分别作用12小时或24小时。结果如图2所示,随着灭活剂浓度增加,作用12或24小时后猪鼻支原体培养物滴度(CCU/mL)呈现逐步下降趋势。四种灭活剂均能实现完全灭活:甲醛在0.01%浓度作用24小时、0.02%浓度作用12小时可实现完全灭活;硫柳汞在0.004%浓度作用24小时、0.02%浓度作用12小时可完全灭活猪鼻支原体;BPL在0.1%浓度作用12小时即达到完全灭活;BEI则在0.004%浓度作用24小时、0.5%浓度作用12小时实现完全灭活。观察发现,在24小时作用条件下,硫柳汞(0.004%)与BEI(0.004%)完全灭活猪鼻支原体所需的最低浓度均低于甲醛(0.01%)和BPL(0.1%)。然而当灭活时间缩短至12小时时,BEI所需的最低灭活浓度显著升高。


b52e9c157aa2d79035aaec567daf7686.png


3.3  灭活猪肺炎支原体与猪鼻支原体在小鼠体内的免疫原性评价

基于上述结果,分别采用经证实有效的最低浓度和最短作用时间的不同灭活剂对猪肺炎支原体与猪鼻支原体进行灭活(猪肺炎支原体:0.01% 甲醛与 0.004% BEI 于 37°C 作用 24 小时,0.0008% 硫柳汞于 37°C 作用 12 小时,以及 0.02% BPL 于 4°C 作用 24 小时;猪鼻支原体:0.01% 甲醛、0.004% 硫柳汞与 0.004% BEI 于 37°C 作用 24 小时,以及 0.1% BPL 于 4°C 作用 12 小时)。随后制备了高剂量(每剂量 10^6 CCU 猪肺炎支原体或猪鼻支原体)和低剂量(每剂量 10^4 CCU 猪肺炎支原体或猪鼻支原体)的灭活疫苗,并用于免疫 BALB/c 小鼠。


针对猪肺炎支原体疫苗,所有接种高剂量抗原的小鼠在第二次免疫后第 7 天均产生了显著水平的血清 IgG 抗体(p < 0.05;表 2)。其中,接种甲醛灭活疫苗的小鼠,其抗体水平显著高于接种其他灭活剂所制备疫苗的小鼠(p < 0.05;表 2)。在接种低剂量抗原的小鼠中,仅接收甲醛或 BEI 灭活疫苗的小鼠与对照组小鼠相比,抗体水平显示出显著差异(p < 0.05)。甲醛组的 IgG 水平高于 BEI 组(p < 0.05)。与对照组相比,接种硫柳汞或 BPL 灭活疫苗的小鼠未表现出抗体水平的显著升高(p > 0.05)。


针对猪鼻支原体疫苗,所有接种高剂量抗原的小鼠在第二次免疫后第 7 天均产生了显著水平的血清 IgG 抗体(p < 0.05;表 3)。其中,接种 BEI 灭活疫苗的小鼠,其抗体水平显著高于接种硫柳汞灭活疫苗的小鼠(p < 0.05;表 3)。在接种低剂量抗原的小鼠中,接种甲醛、BPL 或 BEI 灭活疫苗的小鼠,其抗体水平与对照组和硫柳汞组小鼠相比存在显著差异(p < 0.05)。然而,接种甲醛、BPL 和 BEI 灭活疫苗的各组小鼠之间,其抗体水平无显著差异(p > 0.05)。与对照组相比,接种硫柳汞灭活疫苗的小鼠未表现出抗体水平的显著升高(p > 0.05)。


d3d9e093075add34f1d2c191badf7f42.png



4
讨论


基于其抗真菌与抗腐蚀特性,硫柳汞对真菌、细菌及病毒均具有一定的灭活作用,并广泛应用于多种人用及兽用疫苗中[30,31]。BPL通过影响微生物的DNA或RNA结构实现灭活[32,33]。BEI是乙烯亚胺的衍生物,它能在不破坏病毒衣壳蛋白的前提下消除病毒的感染性[4,11]。甲醛是应用最为广泛的传统灭活剂之一;经甲醛处理后,细菌或病毒因蛋白质和核酸发生烷基化而丧失感染能力。


近年来,制备支原体灭活疫苗最常用的灭活剂主要为甲醛与BEI。 例如,丝状支原体丝状亚种采用0.7%甲醛灭活[17],肺炎支原体采用0.16%甲醛灭活[18],猪鼻支原体采用0.2%甲醛[20]或BEI[5,29]灭活,滑液囊支原体则采用BEI灭活[21]。


在本研究中,我们使用甲醛、硫柳汞、BPL和BEI对猪肺炎支原体与猪鼻支原体进行灭活并比较了其效果。 结果显示,经0.004% BEI于37°C处理24小时,或0.5% BEI处理12小时,可完全灭活猪肺炎支原体与猪鼻支原体。该发现与Gerald等人的研究结果一致,他们曾报道0.001 M(0.0067%)BEI可完全灭活猪鼻支原体[29]。Selwyn等学者发现,在含有0.2%甲醛和0.1% BPL的支原体培养基中,于室温下作用3至24小时,可完全灭活所检测的22种支原体[19]。我们的结果表明,0.02%与0.1%的BPL分别能完全灭活猪肺炎支原体与猪鼻支原体,而0.01%的甲醛则对这两种支原体均能完全灭活。本研究确定的甲醛最适灭活浓度,相对低于Selwyn等人[19]和Wei等人[20]报告中所用的浓度。 这很可能是因为他们选择了灭活细菌或支原体的常用甲醛浓度,该浓度高于灭活猪肺炎支原体与猪鼻支原体所需的最低浓度。


诸多研究致力于探索用于生产支原体灭活疫苗的新型灭活剂。 Hazem等人报道了一种利用1,5-碘萘基叠氮化物(INA)灭活鸡毒支原体的创新方法[34]。该研究表明,这种疏水性的光诱导烷化剂INA能够灭活鸡毒支原体,同时保留其表面脂蛋白,因此有望发展成为一种用于支原体疫苗研发的通用灭活策略。


免疫原性是疫苗的核心属性;然而,灭活处理可能导致免疫原性受到一定损伤。 通常,灭活剂会破坏细菌或病毒的核酸或蛋白质,导致抗原的完整性不如未处理的抗原。少数研究表明,传统灭活剂甲醛会对抗原造成一定损伤。在Martin等人的一项研究中,通过添加0.7%(体积比)甲醛或56°C水浴热灭活30分钟来处理丝状支原体丝状亚种培养物,并采用补体结合试验检测疫苗接种后的抗体应答。结果显示,甲醛灭活疫苗接种组中观察到抗体应答的动物比例为5/7(71%),低于热灭活组的9/9(99%)[17]。José等人采用0.1%(体积比)BPL对流感病毒进行灭活,然而该处理严重影响了病毒的血凝活性和融合能力,表明其表面抗原受到了一定损伤[35]。


硫柳汞自1927年开发以来,一直并被继续用作某些化妆品、局部用药和生物制品(包括疫苗)的防腐剂。 直到本世纪初,美国所有含破伤风成分的疫苗均含有硫柳汞,其中许多浓度为0.01%。但随着越来越多证据揭示硫柳汞对人体(尤其是婴幼儿)存在不良影响[36],其在疫苗中的使用随之减少。此外,研究亦报道了硫柳汞对疫苗抗原存在损害效应,这可能降低疫苗效力[36,37]。


因此,针对特定疫苗探索适宜的灭活剂以及最优的灭活时间与温度至关重要。 一般而言,随着灭活剂浓度和作用温度的升高,灭活效率会随之提升,所需的灭活时间则相应缩短。一种优良的灭活剂应能在低浓度、短时间和低温条件下有效灭活病原体,同时确保疫苗的安全性与效力。在本研究中,我们综合考量了浓度与作用时间等因素,以优化四种不同灭活剂的灭活条件。通过小鼠免疫实验评估了灭活处理对抗原免疫原性的影响。


就猪肺炎支原体而言,甲醛被视为最佳灭活剂, 因为在高剂量和低剂量免疫实验中,该组小鼠的抗体水平均显著高于其他各组。此外,在低剂量免疫实验中,BEI组的抗体水平也显著高于硫柳汞组和BPL组。对于猪鼻支原体,最佳灭活剂为甲醛,其次为BPL和BEI。 这三组小鼠均产生了显著水平的抗体,且组间无统计学差异;但在低剂量免疫实验中,甲醛组小鼠的抗体水平略高于BPL组和BEI组。硫柳汞被认为不适用,因为在低剂量免疫实验中,硫柳汞组未检测到抗体。


本研究发现,在维持猪肺炎支原体与猪鼻支原体的免疫原性方面,甲醛灭活法更具优势。 这似乎与Martin等人关于丝状支原体丝状亚种的研究结果(提示甲醛对抗原存在一定损伤[17])不一致。该差异可能是由于本研究使用的甲醛浓度(0.01%)低于其报告中使用的浓度(0.7%)所致。我们的数据表明,甲醛是开发抗猪肺炎支原体与猪鼻支原体联合疫苗的一种适宜灭活剂。


值得注意的是,在高剂量免疫实验中,不同灭活剂所致的免疫原性损伤差异并不显著。 这是因为当抗原剂量足够高时,疫苗仍能有效刺激免疫系统并诱导强烈的免疫应答。然而,在抗原剂量不足时,免疫原性的差异便得以充分显现。因此,选用适宜的灭活剂有助于降低所需抗原量,从而助力疫苗生产商降低生产成本。


本研究数据为制备抗猪肺炎支原体与猪鼻支原体的单一或联合疫苗提供了参考依据。尽管小鼠常被用作猪用疫苗研究的替代模型[38,39],但需注意二者之间仍存在一定差异。因此,经甲醛灭活的猪肺炎支原体与猪鼻支原体疫苗的免疫效力,尚需在猪体中进行进一步验证。




5
结论


本研究比较了四种灭活剂对猪肺炎支原体与猪鼻支原体的灭活效果, 确定了各灭活剂的最佳作用浓度与时间。随后,通过以BALB/c小鼠为模型进行免疫,评估了灭活后支原体的免疫原性。研究结果显示,0.01%甲醛在37°C条件下作用24小时可完全灭活两种支原体。接种甲醛灭活疫苗的小鼠,其抗体水平均高于其他三种灭活剂制备的疫苗组,这表明甲醛是这两种支原体最适宜的灭活剂。